We may not have the course you’re looking for. If you enquire or give us a call on 01344203999 and speak to our training experts, we may still be able to help with your training requirements.
We ensure quality, budget-alignment, and timely delivery by our expert instructors.

Have you ever pondered about the Deathly Hallows symbol or the pyramid or that triangular traffic symbol on the roadside? Or perhaps you’ve found yourself needing to calculate the exact dimensions for a DIY project or classroom assignment. Computing the Area of Triangle might seem a simple task, but its applications are significant and useful in everyday life.
In this blog, we will examine the Area of Triangle in a very simplified way encompassing the required formulas, practical applications and some tips to assure accurate calculations. By the end, you’ll be well-equipped to calculate any triangular measurements confidently irrespective of whether it is a design project, solving geometry problems, or increasing your knowledge.
Table of Contents
1) What is the Area of a Triangle?
2) Area of Triangle Formula
3) Formula to Determine the Base of a Triangle
4) Steps to Calculate the Base of a Triangle
5) Area of Triangle With 2 Sides and Included Angle (SAS)
6) Calculating the Area of a Triangle Using Three Sides (Heron's Formula)
7) Does Pythagoras Work on all Triangles?
8) How to Calculate Area of Land With 4 Unequal Sides?
9) Conclusion
What is the Area of a Triangle?
Area of a Triangle refers to the region enclosed by it in a two-dimensional plane. A triangle is a closed shape with three vertices and three sides, making its area total space occupied within the three sides of a triangle. In general terms, area is defined as the region inside the boundary of a flat figure. This measurement is done in square units, with the standard unit being square metres (m²). Similarly, the Area of Quadrant follows a distinct formula to calculate the space enclosed within a quarter section of a circle.
Area of a Triangle Formula
The Area of a Triangle can be determined using various formulas, including the Heron’s formula, which calculates the triangle’s area based on the length of all three sides. Similarly, understanding the Area of Rhombus and the Area of Trapezium involves specific formulas that use diagonal lengths or parallel sides and height. Trigonometric functions can also be used to find the Area of a Triangle when you know two sides and the angle formed between them. Consider the following figure:

The most common formula used to find the area is:

Formula to Determine the Base of a Triangle
Sometimes, you may know the area and the height of the triangle but need to find the base. You can rearrange the basic area formula to solve for the base:

This formula is particularly useful when you’re solving problems where the area and height are known, but the base is missing. It also highlights how closely the base and height are related when determining the size of a triangle.
Join our Personal Development Training and start your journey to a more empowered, focused, and successful you today!
Steps to Calculate the Area of a Triangle
Now that you’ve gained insight into the basic idea of the Area of Triangle, let’s explore how to calculate the areas of various types of triangles – Right triangle, Equilateral Triangle, and Isosceles Triangle,
1) Area Calculation for a Right-Angled Triangle

A right-angled triangle (right triangle) has any one angle equal to 90°. Therefore, the triangle's height will be the length of the perpendicular side. The formula for its area goes as follows:
In a right-angled triangle, one of the sides is the height, making it very straightforward to calculate the area. The two sides that form the right angle (legs) are the base and height, respectively. So, the formula becomes:

Unlock advanced techniques and sharpen your Engineering Skills with our Engineering Skills Training. Get started now and elevate your expertise!
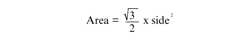
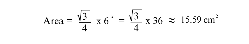
2) Area Calculation for an Equilateral Triangle

In an equilateral triangle, every side is equal. The perpendicular drawn from the triangle's vertex to base divides the base into two equal segments. To calculate its area, we must know the measurement of its sides. The formula for calculating its area is as follows:

For example, if each side of the triangle is 6 cm, the area calculation would be:

3) Area Calculation for an Isosceles Triangle

An isosceles triangle possesses two equal sides, and the angles opposite the sides are equal. Here’s the formula for calculating the Area of an isosceles triangle:

Where:
b = Base of the Isosceles triangle
a = Either of the equal sides
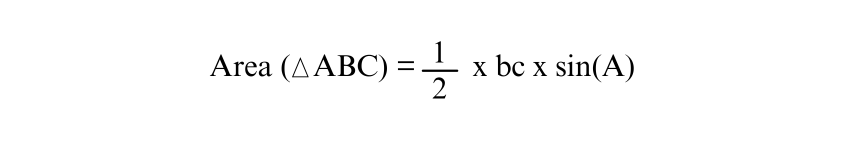
Area of Triangle With Two Sides and Included Angle (SAS)
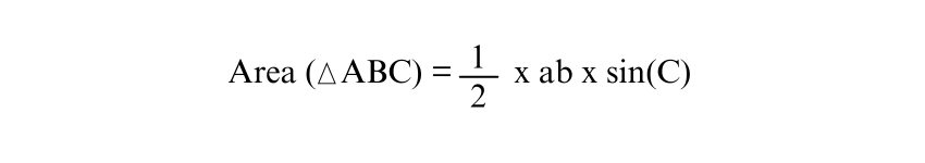
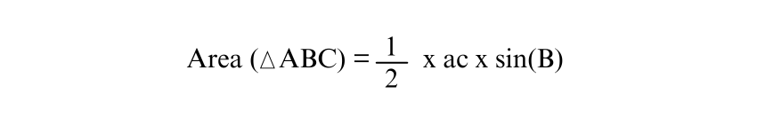
When you know the two sides and included angles of a triangle, you can use a formula that has three variations based on the given dimensions. Consider this triangle:

When sides b and c and angle A are known, the Area of the Triangle is:

When sides a and b and angle C are known, the Area of the Triangle is:

When sides a and c and angle B are known, the Area of the Triangle is:

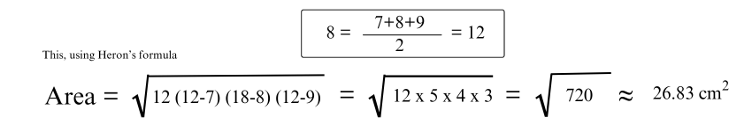
Calculating the Area of a Triangle Using Three Sides (Heron's Formula)
When you know all three sides of a triangle but not the height, Heron’s formula is an excellent tool for determining the area. Heron’s formula uses the semi-perimeter of the triangle, which is half the sum of the three sides. The formula is:

For instance, if a triangle has sides of 7 cm, 8 cm, and 9 cm, you will first calculate the semi-perimeter:

Heron’s formula is especially useful when the height of the triangle is unknown or hard to determine.
Does Pythagoras Work on all Triangles?
No, the Pythagorean Theorem only works on right triangles. For non-right triangles, the Pythagorean Theorem does not apply. However, other methods, like the Law of Cosines, can be employed to find relationships between the sides and angles of any triangle.
How to Calculate Area of Land With 4 Unequal Sides?
Follow the following steps:
1) Sketch out the land and make an appropriate diagonal across it.
2) Next, determine the two triangles' areas that the diagonal creates.
3) Use Heron's formula to calculate the Area of each triangle.
4) The Area of the quadrilateral is obtained by adding the two triangles' areas.
Conclusion
In conclusion, understanding the Area of Triangle is a fundamental process in geometry. Its applications range from architecture to engineering. You unlock a vital mathematical tool by mastering formulas like ½ × base × height or Heron’s formula. Whether delving into academic exercises or solving real-world problems, calculating a triangle’s area spotlights the elegance of geometry.
Take charge of your future! Join our Career Development Course today and unlock the skills and strategies to advance your professional journey.
Frequently Asked Questions
What is the Rule for the Area of a Triangle?
The unavoidable rule in computing the Area of a Triangle is to multiply the base length by the height, then divide the result by two. This approach works for any triangle as long as the base and its corresponding height are known.
What is the Best Way to Find the Area of a Triangle?
The best way depends on the information available. If the base and height are known, use the standard formula. If all sides are known, Heron’s formula is ideal. For specific triangles like equilateral ones, specialised formulas work best.
What are the Other Resources and Offers Provided by The Knowledge Academy?
The Knowledge Academy takes global learning to new heights, offering over 3,000+ online courses across 490+ locations in 190+ countries. This expansive reach ensures accessibility and convenience for learners worldwide.
Alongside our diverse Online Course Catalogue, encompassing 19 major categories, we go the extra mile by providing a plethora of free educational Online Resources like Blogs, eBooks, Interview Questions and Videos. Tailoring learning experiences further, professionals can unlock greater value through a wide range of special discounts, seasonal deals, and Exclusive Offers.
What is The Knowledge Pass, and How Does it Work?
The Knowledge Academy’s Knowledge Pass, a prepaid voucher, adds another layer of flexibility, allowing course bookings over a 12-month period. Join us on a journey where education knows no bounds.
What are the Related Courses and Blogs Provided by The Knowledge Academy?
The Knowledge Academy offers various Personal Development Courses, including the Engineering Skills Training, Time Management Training and the Supervisor training. These courses cater to different skill levels, providing comprehensive insights into Best Courses After 12th.
Our Business Skills Blogs cover a range of topics related to Engineering, offering valuable resources, best practices, and industry insights. Whether you are a beginner or looking to advance your Engineering skills, The Knowledge Academy's diverse courses and informative blogs have got you covered.
The Knowledge Academy is a world-leading provider of professional training courses, offering globally recognised qualifications across a wide range of subjects. With expert trainers, up-to-date course material, and flexible learning options, we aim to empower professionals and organisations to achieve their goals through continuous learning.
Upcoming Business Skills Resources Batches & Dates
Date
Fri 17th Jul 2026
Fri 9th Oct 2026
Top Rated Course