We may not have the course you’re looking for. If you enquire or give us a call on 01344203999 and speak to our training experts, we may still be able to help with your training requirements.
We ensure quality, budget-alignment, and timely delivery by our expert instructors.

What if the only difference between two answers in a probability problem is the order of arrangement? In mathematics, understanding whether order matters can completely change the outcome of a calculation. This is where permutation and combination play a crucial role.
These two counting techniques help determine how items can be selected and arranged under different conditions. In this blog, we explore their definitions, key differences, formulas, and practical examples to clarify when to use each concept effectively.
Table of Contents
1) Permutations and Combination
2) Permutation and Combination Formulas
3) Derivation of Permutation and Combination Formulas
4) Difference Between Permutation and Combination
5) Uses of Permutation and Combination
6) Solved Examples on Permutation and Combination
7) Conclusion
Permutations and Combinations
Core counting techniques are part of mathematics to find out how the elements can be ordered or picked out of a set. The major difference is found in the fact of whether the order of elements matters or not. All these are the concepts on which probability, statistics, and combinatorial analysis are found. These are classified into two types mainly they are Permutation and Combination which is explained below:
What is Permutation?
A permutation refers to organising things in a certain sequence, where the position matters. The number of permutations of r elements from a set of n elements is calculated using the formula: nPr = n! / (n − r)!, making it applicable in scenarios such as ranking, sequencing, or assigning roles.
What is a Combination?
A Combination is a selection of elements in a set in which the order does not matter. This is determined by calculating r combinations of the n elements using the formula: nCr = n! / [r! (n − r)!], most often in a grouping problem or a selection problem where the order in which the elements are chosen does not matter.
Permutation and Combination Formulas
Both Permutation and Combination have formulas that help in calculating them. Let's look at the details of these formulas.
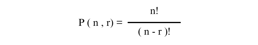
Permutation Formula
The formula to calculate the permutation of ( n ) objects taken ( r ) at a time is:

Where:
n = total number of objects
r = number of objects to arrange
! denotes a factorial, which is the product of all positive integers up to that number.
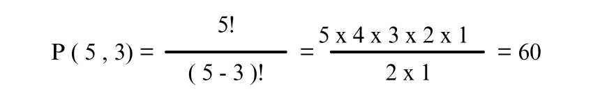
Example Calculation:
If you have 5 different books and you want to arrange 3 of them on a shelf, the permutation would be:

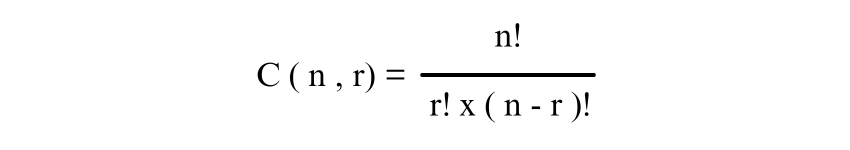
Combination Formula
The formula for calculating combinations of n objects taken r at a time is:

Where:
n = total number of objects
r = number of objects to select
! denotes factorial.
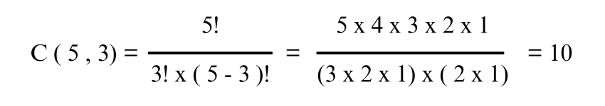
Example Calculation:
If you have 5 different ice cream flavours and you want to select 3, the combination would be:

Optimize quality with data-driven control with our Statistical Process Control Training- Join today!
Derivation of Permutation and Combination Formulas
By examining how elements of a set may be arranged or chosen, the formulas for permutations and combinations are obtained. Permutations are used to enumerate arrangements that require order, and combinations to enumerate selections that do not depend on order. Their derivations can be understood to know how these formulas are made up and used.
1) Derivation of Permutations Formula
To derive the permutation formula, consider selecting r items from n distinct elements where order matters. The first position has n choices, the second has (n−1), and so on for r positions. This gives:

which is the permutation formula:

2) Derivation of Combinations Formula
Combinations are derived by adjusting permutations to eliminate ordering. Starting with,

divide by the number of ways r items can be ordered among themselves, which is r!. This yields the combination formula accounting only for unique selections without regard to order:

Difference Between Permutation and Combination
The primary difference between Permutation and Combination lies in the significance of order. Permutations are concerned with arrangements where the order matters, whereas combinations focus solely on selection without regard to order. Here’s a quick comparison:

Real-Life Scenarios:
1) Permutations: Picture yourself setting up a display for a store window. The way you place each item affects how people see it—each arrangement tells a different story.
2) Combinations: Now imagine putting together a mix of ingredients for a recipe. It doesn’t matter which ingredient you add first; what counts is the final mix.
Build a strong foundation in business analysis and start delivering measurable business value with our Business Analyst Fundamentals Training- Sign up now!
Uses of Permutation and Combination
Permutations and combinations are more than just mathematical terms; they play a significant role in various real-life situations.
1) Permutations: Permutations are all about order and arrangement. Anytime you need to organise or rank things where the order matters, you’re dealing with permutations. For instance, when arranging people in a line, setting up items in a specific order on a shelf, creating unique codes or passwords, or determining the sequence of tasks, permutations come into play.
They help in scenarios like creating schedules, seating arrangements at events, or even figuring out the possible orders in which contestants can finish a race.
2) Combinations: Combinations, on the other hand, focus on selection without worrying about the order. This is useful when picking groups or subsets where the sequence doesn’t matter, like selecting team members from a pool of candidates, choosing dishes for a meal plan, picking lottery numbers, or selecting a set of questions for a quiz.
In these cases, it’s all about which items you choose, not how they’re arranged, making combinations the perfect tool for these tasks.
Solve complex business challenges with precision and business maximise performance with our Mathematical Optimisation for Business Problems Course- Join now!
Solved Examples on Permutation and Combination
Practical examples are more understandable when it comes to concepts of permutations and combinations. These problems are solved in scenarios of repetition and non-repetition, as shown below.
1) Example on Permutations with Repetition
In cases where repetition is permitted, every position may be occupied separately relative to the same possibility choices.
For example: forming a 3-digit code using digits 0–9 allows repetition, so each digit has 10 choices.
Total possible permutations = 10 × 10 × 10 = 10³ = 1000 Permutations
The formula here is:

Where:
n = the available number of choices
r = number of positions
2) Example on Permutations without Repetition
In cases where repetition is not applicable, every choice narrows the options available.
For example: To organise 3 letters A, B, C, D without their repetition as 24 ordered patterns by the formula:
Title: Permutations Without Repetition Formula

So, the solution be like,

3) Example on Combinations with Repetition
When it is not specified whether repetition should occur or not, and order is inconsequential, the formula is:

For example, choosing 2 scoops from 3 ice cream flavours allows repeats, so the total combinations are:

4) Example on Combinations without Repetition
In situations where repetition is not permissible, and order does not count, use:

For example, selecting 2 students from 5 gives 10 possible groups by:

Conclusion
Permutations and Combinations are fundamental counting principles that simplify complex selection and arrangement problems. The key difference lies in whether order matters or not. By understanding their formulas and applications, you can solve probability and real-world decision problems with precision. Mastering these concepts builds a strong foundation in mathematics and statistical reasoning.
Build the skills to drive smarter business decisions with our Business Analyst Courses- Sign in now!
Frequently Asked Questions
How Can You Tell if it's a Permutation or Combination?
If the order of selection affects the outcome, it is a permutation. If the order does not matter and only the grouping is important, it is a combination. A quick test is to ask: “Would rearranging the same items create a new result?”
Can I use Pascal's Triangle for Permutations and Combinations?
Pascal’s Triangle directly gives combination values (nCr) because it represents binomial coefficients. It cannot directly calculate permutations, but you can derive permutations using nCr and multiplying by r!. Therefore, it is primarily used for combinations.
What are the Other Resources and Offers Provided by The Knowledge Academy?
The Knowledge Academy takes global learning to new heights, offering over 3,000+ online courses across 490+ locations in 190+ countries. This expansive reach ensures accessibility and convenience for learners worldwide.
Alongside our diverse Online Course Catalogue, encompassing 17 major categories, we go the extra mile by providing a plethora of free educational Online Resources like Blogs, eBooks, Interview Questions and Videos. Tailoring learning experiences further, professionals can unlock greater value through a wide range of special discounts, seasonal deals, and Exclusive Offers.
What is The Knowledge Pass, and How Does it Work?
The Knowledge Academy’s Knowledge Pass, a prepaid voucher, adds another layer of flexibility, allowing course bookings over a 12-month period. Join us on a journey where education knows no bounds.
What are the Related Courses and Blogs Provided by The Knowledge Academy?
The Knowledge Academy offers various Business Analyst Courses, including the Statistics Course, Business Analyst Fundamentals Training, and Introduction to Business Analytics Training. These courses cater to different skill levels and provide comprehensive insights into What is Data Collection.
Our Business Analysis Blogs cover a range of topics related to Business Analysis, offering valuable resources, best practices, and industry insights. Whether you are a beginner or looking to advance your Business Analysis Skills. The Knowledge Academy's diverse courses and informative blogs have got you covered.
William Brown is a senior business analyst with over 15 years of experience driving process improvement and strategic transformation in complex business environments. He specialises in analysing operations, gathering requirements and delivering insights that support effective decision making. William’s practical approach helps bridge the gap between business goals and technical solutions.
View Detail
Top Rated Course